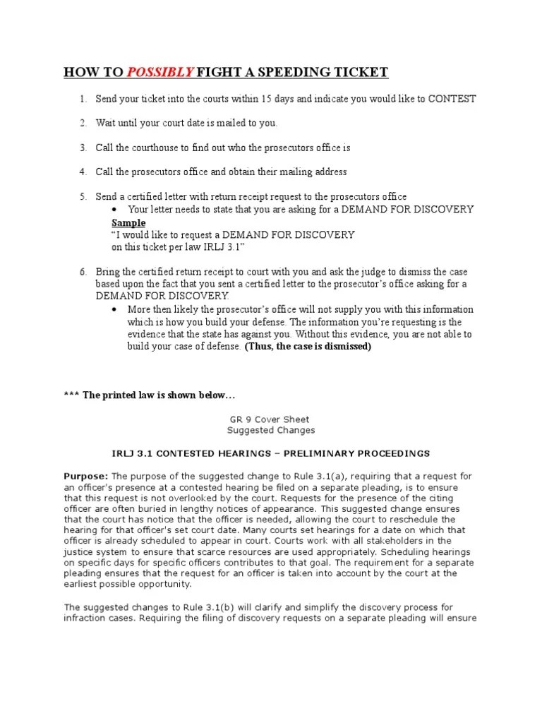
How To Write A Good Appeal For A Ticket

How To Write A Good Appeal For A Ticket. Appeal of speeding ticket number [number] dear [name of judge]: My name and address are above and the ticket number is number.

Traffic Ticket Appeal Letter Sample SampleTemplatess SampleTemplatess
Traffic Ticket Appeal Letter Sample SampleTemplatess SampleTemplatess from www.sampletemplatess.com

Legitimate reasons to appeal a parking ticket. Do not express extreme personal views of the people who took the decision you are appealing. I believe the parking penalty given to me was a mistake because i am a good citizen who has always followed all traffic rules and regulations.

A Copy Of The Ticket Can Be Enclosed With The Letter.


Avoid emotional pleas, and stick to actualities. My name and address are above and the ticket number is number. Use our sample parking ticket appeal letter as a guide when writing your own.

Retraction Of Speeding Ticket Number Number.


I am contesting citation number i received on date at time, which states my car was parked at or near location. Give them a reason to help you. If you do then state those grounds.

My Name And Address Are Above And The Ticket Number Is [Number].


It should be sent by certified mail, so the sender has a record of the time and date it was sent and received. Include any facts that help support your case. There are many reasons why a person may need to write an appeal letter.

When Writing An Appeal, Always Provide Your Details To Make It Easy For The Officers To Identify And Work On Your Case.


If you have documents that will help your case, include them. “if i had known, i would have cheerfully paid.”. I'd leave the stuff about your record of tickets till the end.

Your Name Your Address City, State, Zip Code.


If you sound irrational, there is little need to write the letter. In the second paragraph, you could cut some details out and change the order a bit. To make your letter easy for the reader to understand, keep your facts in chronological order.

Posting Komentar

0 Komentar

banner